Comprendre ce qu’est la testostérone et son rôle dans l’organisme
La testostérone est souvent associée à la performance sportive ou à la prise de masse musculaire. Pourtant, cette hormone joue un rôle bien plus large dans le fonctionnement global de l’organisme, aussi bien chez l’homme que chez la femme.
Comprendre ce qu’est réellement la testostérone, comment elle est produite et quels facteurs influencent son taux permet d’aborder ce sujet avec plus de recul, loin des idées reçues et des raccourcis souvent véhiculés.
Qu’est-ce que la testostérone ?
La testostérone est une hormone stéroïdienne androgène.
Chez l’homme, elle est produite principalement par les testicules.
Chez la femme, elle est également présente, mais en quantité plus faible, et provient essentiellement des ovaires et des glandes surrénales.
Contrairement à certaines croyances, la testostérone n’est pas uniquement liée à la virilité. Elle intervient dans de nombreux mécanismes physiologiques essentiels.

Répartition de la testostérone libre et liée dans l’organisme.
La majorité de la testostérone circulante est liée à des protéines de transport (SHBG et albumine). Seule une petite fraction est dite « libre », mais c’est cette forme qui est biologiquement active.
Quel est le rôle de la testostérone ?
La testostérone agit sur de nombreuses fonctions :
- développement et maintien de la masse musculaire
- densité osseuse
- production des globules rouges
- libido et fonction sexuelle
- énergie générale et motivation
- récupération physique
Elle influence également la répartition des graisses et participe à l’équilibre hormonal global.
Comment est produite la testostérone ?
La production de testostérone est régulée par un système complexe appelé axe hypothalamo-hypophyso-gonadique.
Cet axe permet d’ajuster la production hormonale en fonction des besoins de l’organisme.
Rôle de l’axe hypothalamo-hypophysaire dans la régulation de la testostérone.
Ce mécanisme est sensible à de nombreux paramètres comme le stress, le sommeil, l’état nutritionnel ou encore la masse grasse.
Testostérone et aromatase : un équilibre hormonal
Une partie de la testostérone peut être transformée en œstrogènes via une enzyme appelée aromatase.
Cette enzyme est particulièrement active dans le tissu adipeux.
Simplification des voies hormonales impliquant la testostérone et l’aromatase.
Un excès de masse grasse peut donc influencer l’équilibre hormonal en favorisant cette conversion, ce qui explique l’importance du mode de vie dans la régulation naturelle de la testostérone.
Testostérone et sport : quel lien réel ?
Dans le domaine sportif, la testostérone est souvent associée à la prise de force et à l’adaptation à l’entraînement.
Les exercices polyarticulaires, les charges lourdes et les entraînements bien structurés peuvent entraîner une augmentation transitoire de la testostérone. Toutefois, cette réponse reste physiologique et limitée dans le temps.
Il est important de distinguer ces variations naturelles de l’usage exogène d’hormones, qui relève du dopage et comporte des risques importants pour la santé.
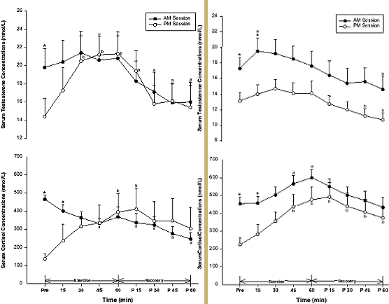
Variation des taux de testostérone en fonction de l’effort et du moment de la journée.
La testostérone suit également un rythme circadien, avec des niveaux généralement plus élevés le matin.
L’évolution naturelle de la testostérone avec l’âge
Avec l’âge, la production de testostérone diminue progressivement.
Ce phénomène est normal et fait partie du vieillissement physiologique.
Évolution naturelle de la sécrétion de testostérone au cours de la vie.
Cette diminution n’est pas systématiquement problématique et doit toujours être interprétée dans un contexte global.
Facteurs pouvant influencer le taux de testostérone
Plusieurs éléments du quotidien peuvent impacter l’équilibre hormonal :
- manque de sommeil
- stress chronique
- alimentation déséquilibrée
- déficit calorique prolongé
- surentraînement sans récupération
À l’inverse, une hygiène de vie cohérente contribue au maintien d’un équilibre hormonal favorable.
Testostérone : idées reçues et réalité
La testostérone n’est ni une hormone « miracle », ni un indicateur unique de performance ou de santé.
Un taux élevé n’est pas forcément synonyme de bien-être, tout comme un taux bas n’est pas automatiquement pathologique. Seule une évaluation médicale permet une interprétation fiable.
FAQ – Testostérone et fonctionnement hormonal
Qu’est-ce que la testostérone ?
La testostérone est une hormone androgène essentielle au fonctionnement de l’organisme, jouant un rôle dans la masse musculaire, l’énergie et l’équilibre hormonal.
> Pour approfondir les facteurs nutritionnels influençant sa production, consulte notre article sur optimiser son taux de testostérone de manière naturelle avec la nutrition.
La testostérone concerne-t-elle aussi les femmes ?
Oui. Présente en plus faible quantité, elle joue un rôle sur la vitalité, la libido et la santé osseuse.
Quels nutriments influence(nt) la testostérone ?
Plusieurs micronutriments jouent un rôle dans l’équilibre hormonal, notamment le zinc, qui soutient la synthèse et la régulation hormonale.
> Découvrez plus sur le rôle du zinc dans notre article tout savoir sur le Zinc.
Peut-on optimiser naturellement sa production de testostérone ?
Oui. Une alimentation équilibrée, un sommeil de qualité, la gestion du stress et une activité physique adaptée influencent l’équilibre hormonal.
Un âge avancé affecte-t-il la testostérone ?
Oui. La production de testostérone diminue progressivement avec l’âge, un phénomène physiologique normal qui doit être interprété dans un contexte global.
À retenir
La testostérone est une hormone essentielle, bien au-delà de son image souvent caricaturale. Comprendre son fonctionnement permet d’adopter une approche plus réaliste, durable et respectueuse de la physiologie.
Article initialement publié en 2012 – mis à jour en 2026
Recherche
Catégorie
Articles populaires
Articles récents




